RXS0603+42-N IR detection object #3878

Color images and BPZ results
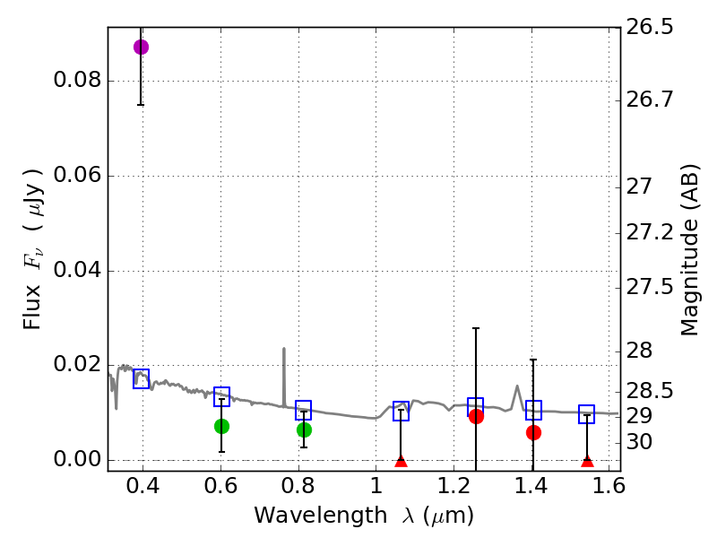
Catalog: 3878.cat
Black segments are analyzed here.   Roll mouse over color images to view segments.
Best viewed in a wide browser window (1200 pixels or more).   Download SED & P(z) plots to view larger versions.
In P(z) plots: Yellow lines mark the cluster redshift z = 0.228,  

Object #3878   x,y = (1615, 2253)   RA, Dec = (06:03:18.936, 42:15:32.76) = (90.82890, 42.25910)   BPZ = 1.730 [0.503--2.668]   type = 11.00 (SB11_A_0_l)   stellarity = 0.47   chisq2 = 9.05   ODDS = 0.23   z_cluster = 0.228