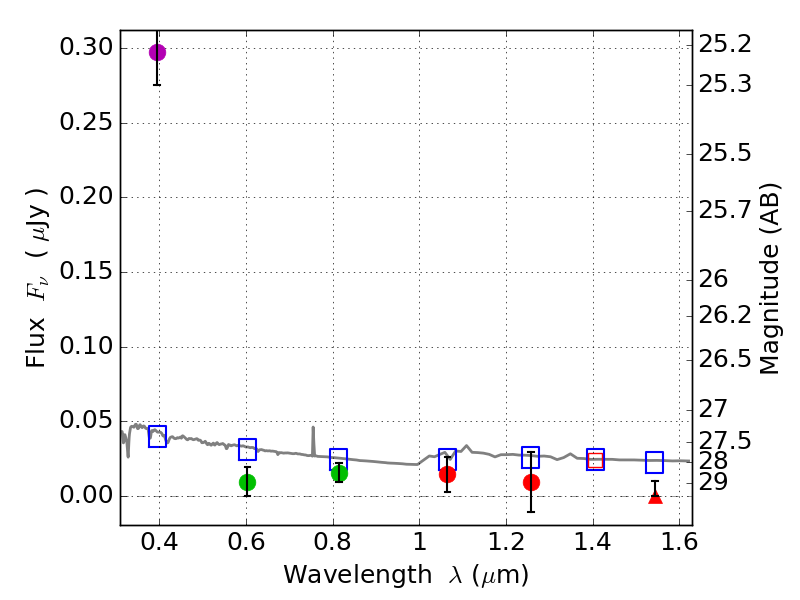
RXS0603+42-N IR detection object #3850

Color images and BPZ results
Catalog: 3850.cat
Black segments are analyzed here.   Roll mouse over color images to view segments.
Best viewed in a wide browser window (1200 pixels or more).   Download SED & P(z) plots to view larger versions.
In P(z) plots: Yellow lines mark the cluster redshift z = 0.228,  

Object #3850   x,y = (2606, 2257)   RA, Dec = (06:03:13.584, 42:15:33.12) = (90.80660, 42.25920)   BPZ = 1.699 [0.979--2.207]   type = 11.00 (SB11_A_0_l)   stellarity = 0.64   chisq2 = 48.41   ODDS = 0.50   z_cluster = 0.228