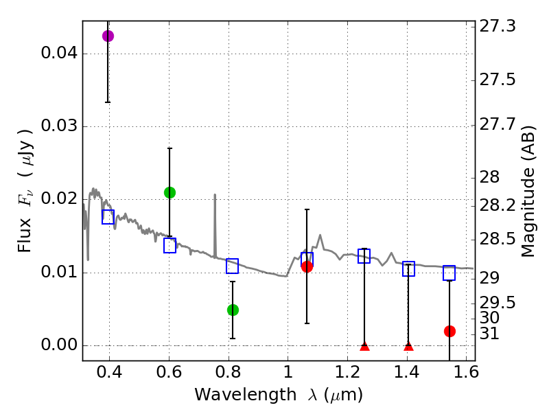
RXS0603+42-N IR detection object #3847

Color images and BPZ results
Catalog: 3847.cat
Black segments are analyzed here.   Roll mouse over color images to view segments.
Best viewed in a wide browser window (1200 pixels or more).   Download SED & P(z) plots to view larger versions.
In P(z) plots: Yellow lines mark the cluster redshift z = 0.228,  

Object #3847   x,y = (3396, 2261)   RA, Dec = (06:03:09.312, 42:15:33.48) = (90.78880, 42.25930)   BPZ = 1.704 [0.382--2.803]   type = 11.00 (SB11_A_0_l)   stellarity = 0.44   chisq2 = 3.45   ODDS = 0.25   z_cluster = 0.228