RXS0603+42-N IR detection object #3834

Color images and BPZ results
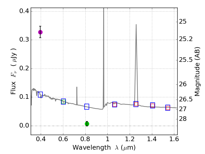
Catalog: 3834.cat
Black segments are analyzed here.   Roll mouse over color images to view segments.
Best viewed in a wide browser window (1200 pixels or more).   Download SED & P(z) plots to view larger versions.
In P(z) plots: Yellow lines mark the cluster redshift z = 0.228,  

Object #3834   x,y = (4540, 2264)   RA, Dec = (06:03:03.120, 42:15:33.48) = (90.76300, 42.25930)   BPZ = 1.594 [1.420--1.898]   type = 11.00 (SB11_A_0_l)   stellarity = 0.79   chisq2 = 134.90   ODDS = 0.62   z_cluster = 0.228