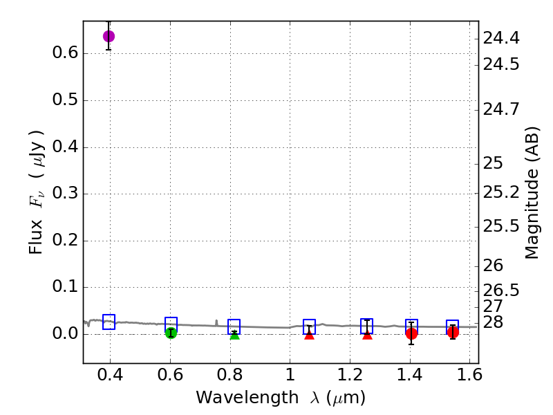
RXS0603+42-N IR detection object #3805

Color images and BPZ results
Catalog: 3805.cat
Black segments are analyzed here.   Roll mouse over color images to view segments.
Best viewed in a wide browser window (1200 pixels or more).   Download SED & P(z) plots to view larger versions.
In P(z) plots: Yellow lines mark the cluster redshift z = 0.228,  

Object #3805   x,y = (1587, 2278)   RA, Dec = (06:03:19.080, 42:15:34.20) = (90.82950, 42.25950)   BPZ = 1.699 [1.014--2.334]   type = 11.00 (SB11_A_0_l)   stellarity = 0.84   chisq2 = 107.10   ODDS = 0.35   z_cluster = 0.228