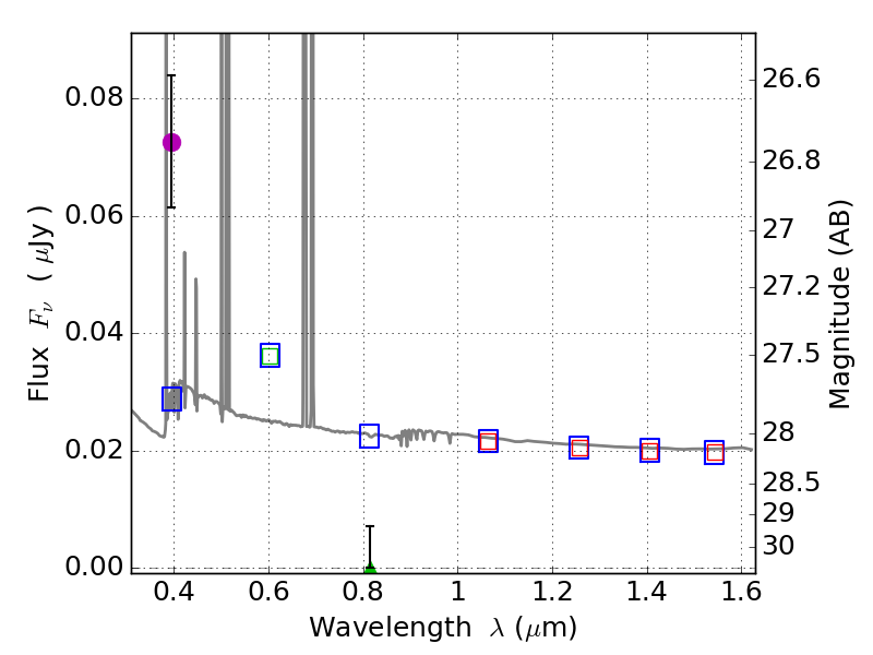
RXS0603+42-N IR detection object #3798

Color images and BPZ results
Catalog: 3798.cat
Black segments are analyzed here.   Roll mouse over color images to view segments.
Best viewed in a wide browser window (1200 pixels or more).   Download SED & P(z) plots to view larger versions.
In P(z) plots: Yellow lines mark the cluster redshift z = 0.228,  

Object #3798   x,y = (4563, 2280)   RA, Dec = (06:03:03.000, 42:15:34.56) = (90.76250, 42.25960)   BPZ = 0.027 [0.011--0.623]   type = 11.00 (SB11_A_0_l)   stellarity = 0.48   chisq2 = 23.26   ODDS = 0.74   z_cluster = 0.228