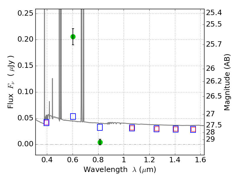
RXS0603+42-N IR detection object #379

Color images and BPZ results
Catalog: 379.cat
Black segments are analyzed here.   Roll mouse over color images to view segments.
Best viewed in a wide browser window (1200 pixels or more).   Download SED & P(z) plots to view larger versions.
In P(z) plots: Yellow lines mark the cluster redshift z = 0.228,  

Object #379   x,y = (2115, 3628)   RA, Dec = (06:03:16.224, 42:16:55.20) = (90.81760, 42.28200)   BPZ = 0.023 [0.011--2.904]   type = 11.00 (SB11_A_0_l)   stellarity = 0.98   chisq2 = 109.40   ODDS = 0.51   z_cluster = 0.228