RXS0603+42-N IR detection object #3774

Color images and BPZ results
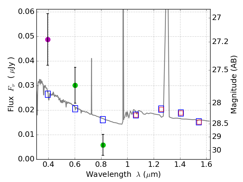
Catalog: 3774.cat
Black segments are analyzed here.   Roll mouse over color images to view segments.
Best viewed in a wide browser window (1200 pixels or more).   Download SED & P(z) plots to view larger versions.
In P(z) plots: Yellow lines mark the cluster redshift z = 0.228,  

Object #3774   x,y = (4167, 2291)   RA, Dec = (06:03:05.136, 42:15:35.28) = (90.77140, 42.25980)   BPZ = 1.596 [1.067--2.557]   type = 11.00 (SB11_A_0_l)   stellarity = 0.36   chisq2 = 10.93   ODDS = 0.23   z_cluster = 0.228