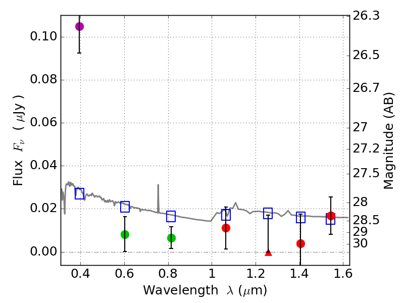
RXS0603+42-N IR detection object #3768

Color images and BPZ results
Catalog: 3768.cat
Black segments are analyzed here.   Roll mouse over color images to view segments.
Best viewed in a wide browser window (1200 pixels or more).   Download SED & P(z) plots to view larger versions.
In P(z) plots: Yellow lines mark the cluster redshift z = 0.228,  

Object #3768   x,y = (1809, 2341)   RA, Dec = (06:03:17.880, 42:15:38.16) = (90.82450, 42.26060)   BPZ = 1.702 [0.989--2.373]   type = 11.00 (SB11_A_0_l)   stellarity = 0.39   chisq2 = 11.56   ODDS = 0.29   z_cluster = 0.228