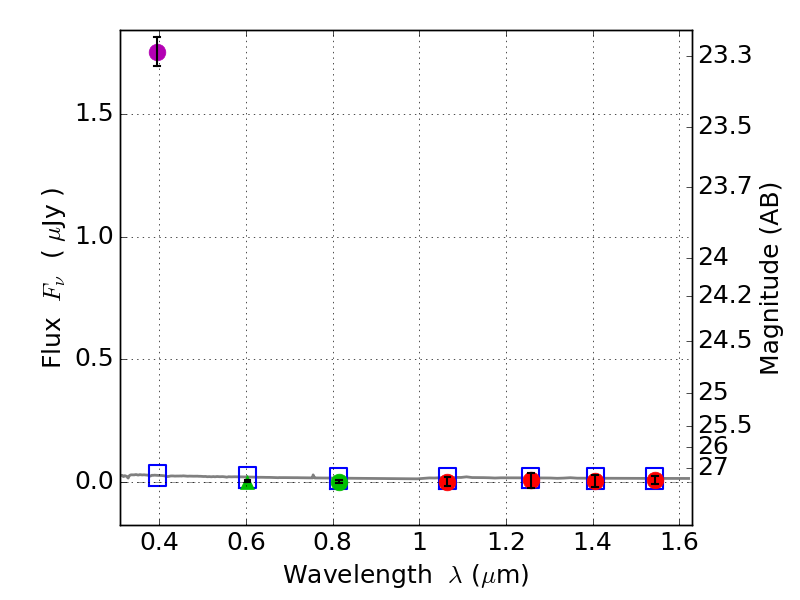
RXS0603+42-N IR detection object #3762

Color images and BPZ results
Catalog: 3762.cat
Black segments are analyzed here.   Roll mouse over color images to view segments.
Best viewed in a wide browser window (1200 pixels or more).   Download SED & P(z) plots to view larger versions.
In P(z) plots: Yellow lines mark the cluster redshift z = 0.228,  

Object #3762   x,y = (1581, 2297)   RA, Dec = (06:03:19.128, 42:15:35.64) = (90.82970, 42.25990)   BPZ = 1.699 [0.739--3.057]   type = 11.00 (SB11_A_0_l)   stellarity = 0.98   chisq2 = 214.70   ODDS = 0.26   z_cluster = 0.228