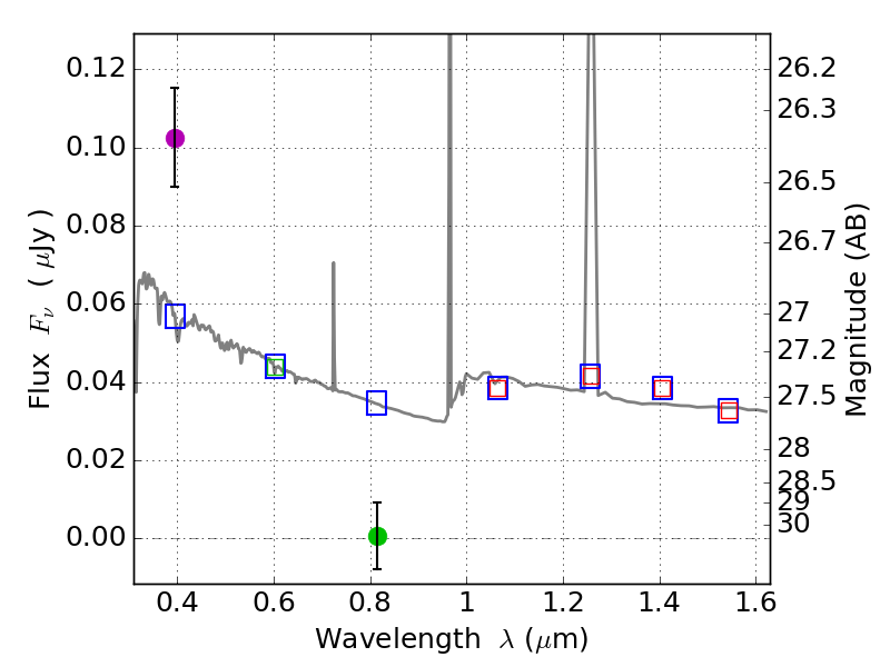
RXS0603+42-N IR detection object #3758

Color images and BPZ results
Catalog: 3758.cat
Black segments are analyzed here.   Roll mouse over color images to view segments.
Best viewed in a wide browser window (1200 pixels or more).   Download SED & P(z) plots to view larger versions.
In P(z) plots: Yellow lines mark the cluster redshift z = 0.228,  

Object #3758   x,y = (4585, 2298)   RA, Dec = (06:03:02.880, 42:15:35.64) = (90.76200, 42.25990)   BPZ = 1.595 [1.261--2.175]   type = 11.00 (SB11_A_0_l)   stellarity = 0.64   chisq2 = 25.56   ODDS = 0.34   z_cluster = 0.228