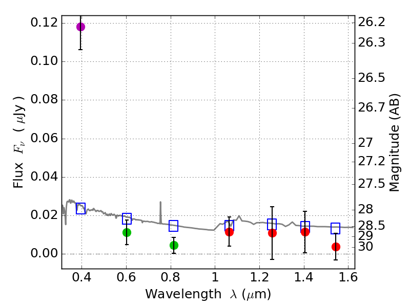
RXS0603+42-N IR detection object #3745

Color images and BPZ results
Catalog: 3745.cat
Black segments are analyzed here.   Roll mouse over color images to view segments.
Best viewed in a wide browser window (1200 pixels or more).   Download SED & P(z) plots to view larger versions.
In P(z) plots: Yellow lines mark the cluster redshift z = 0.228,  

Object #3745   x,y = (2621, 2306)   RA, Dec = (06:03:13.488, 42:15:36.00) = (90.80620, 42.26000)   BPZ = 1.701 [1.041--2.289]   type = 11.00 (SB11_A_0_l)   stellarity = 0.56   chisq2 = 17.27   ODDS = 0.44   z_cluster = 0.228