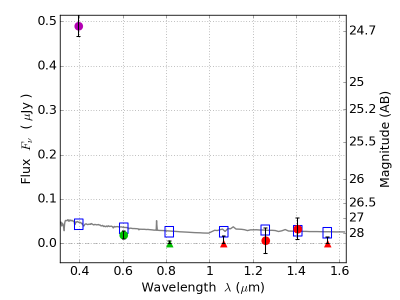
RXS0603+42-N IR detection object #3685

Color images and BPZ results
Catalog: 3685.cat
Black segments are analyzed here.   Roll mouse over color images to view segments.
Best viewed in a wide browser window (1200 pixels or more).   Download SED & P(z) plots to view larger versions.
In P(z) plots: Yellow lines mark the cluster redshift z = 0.228,  

Object #3685   x,y = (1656, 2323)   RA, Dec = (06:03:18.720, 42:15:37.08) = (90.82800, 42.26030)   BPZ = 1.697 [1.417--2.070]   type = 11.00 (SB11_A_0_l)   stellarity = 0.84   chisq2 = 88.96   ODDS = 0.59   z_cluster = 0.228