RXS0603+42-N IR detection object #3651

Color images and BPZ results
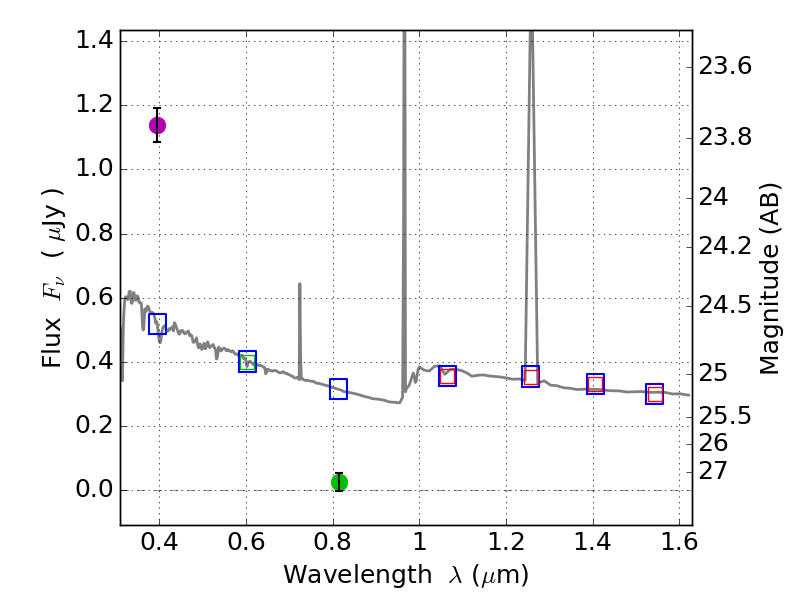
Catalog: 3651.cat
Black segments are analyzed here.   Roll mouse over color images to view segments.
Best viewed in a wide browser window (1200 pixels or more).   Download SED & P(z) plots to view larger versions.
In P(z) plots: Yellow lines mark the cluster redshift z = 0.228,  

Object #3651   x,y = (4648, 2290)   RA, Dec = (06:03:02.544, 42:15:34.92) = (90.76060, 42.25970)   BPZ = 1.593 [1.486--1.798]   type = 11.00 (SB11_A_0_l)   stellarity = 0.96   chisq2 = 137.90   ODDS = 0.79   z_cluster = 0.228