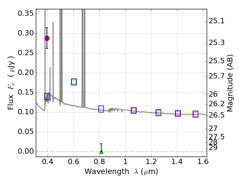
RXS0603+42-N IR detection object #3650

Color images and BPZ results
Catalog: 3650.cat
Black segments are analyzed here.   Roll mouse over color images to view segments.
Best viewed in a wide browser window (1200 pixels or more).   Download SED & P(z) plots to view larger versions.
In P(z) plots: Yellow lines mark the cluster redshift z = 0.228,  

Object #3650   x,y = (4642, 2296)   RA, Dec = (06:03:02.568, 42:15:35.28) = (90.76070, 42.25980)   BPZ = 0.020 [0.010--1.295]   type = 11.00 (SB11_A_0_l)   stellarity = 0.20   chisq2 = 49.12   ODDS = 0.97   z_cluster = 0.228