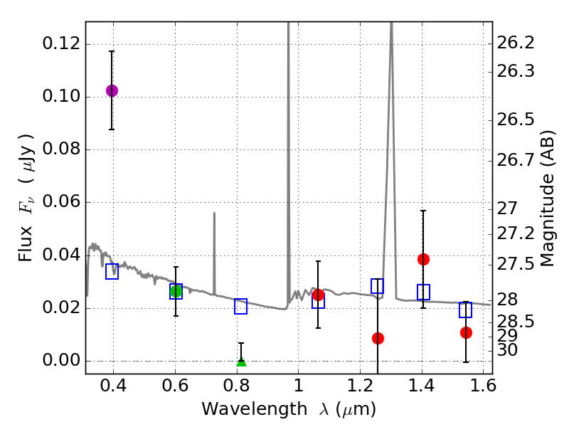
RXS0603+42-N IR detection object #3619

Color images and BPZ results
Catalog: 3619.cat
Black segments are analyzed here.   Roll mouse over color images to view segments.
Best viewed in a wide browser window (1200 pixels or more).   Download SED & P(z) plots to view larger versions.
In P(z) plots: Yellow lines mark the cluster redshift z = 0.228,  

Object #3619   x,y = (2729, 2336)   RA, Dec = (06:03:12.912, 42:15:37.80) = (90.80380, 42.26050)   BPZ = 1.600 [1.051--2.334]   type = 11.00 (SB11_A_0_l)   stellarity = 0.39   chisq2 = 7.78   ODDS = 0.32   z_cluster = 0.228