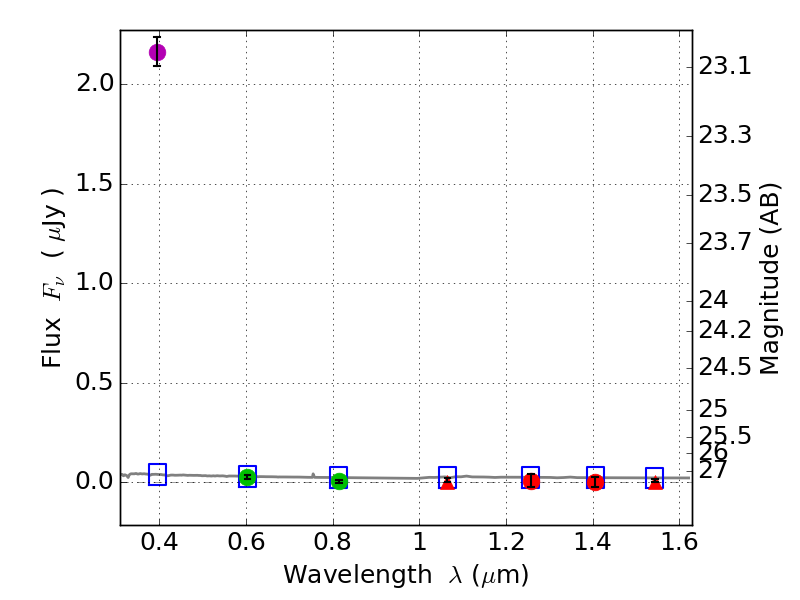
RXS0603+42-N IR detection object #3610

Color images and BPZ results
Catalog: 3610.cat
Black segments are analyzed here.   Roll mouse over color images to view segments.
Best viewed in a wide browser window (1200 pixels or more).   Download SED & P(z) plots to view larger versions.
In P(z) plots: Yellow lines mark the cluster redshift z = 0.228,  

Object #3610   x,y = (1598, 2335)   RA, Dec = (06:03:19.032, 42:15:37.80) = (90.82930, 42.26050)   BPZ = 1.700 [1.112--2.359]   type = 11.00 (SB11_A_0_l)   stellarity = 0.99   chisq2 = 230.30   ODDS = 0.40   z_cluster = 0.228