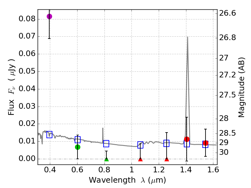
RXS0603+42-N IR detection object #3587

Color images and BPZ results
Catalog: 3587.cat
Black segments are analyzed here.   Roll mouse over color images to view segments.
Best viewed in a wide browser window (1200 pixels or more).   Download SED & P(z) plots to view larger versions.
In P(z) plots: Yellow lines mark the cluster redshift z = 0.228,  

Object #3587   x,y = (2103, 2350)   RA, Dec = (06:03:16.296, 42:15:38.52) = (90.81790, 42.26070)   BPZ = 1.825 [0.436--4.658]   type = 11.00 (SB11_A_0_l)   stellarity = 0.38   chisq2 = 8.19   ODDS = 0.15   z_cluster = 0.228