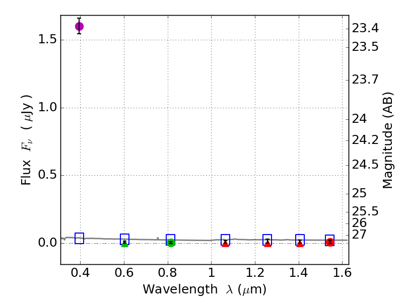
RXS0603+42-N IR detection object #3576

Color images and BPZ results
Catalog: 3576.cat
Black segments are analyzed here.   Roll mouse over color images to view segments.
Best viewed in a wide browser window (1200 pixels or more).   Download SED & P(z) plots to view larger versions.
In P(z) plots: Yellow lines mark the cluster redshift z = 0.228,  

Object #3576   x,y = (2353, 2351)   RA, Dec = (06:03:14.952, 42:15:38.88) = (90.81230, 42.26080)   BPZ = 1.700 [0.923--2.403]   type = 11.00 (SB11_A_0_l)   stellarity = 0.89   chisq2 = 197.80   ODDS = 0.34   z_cluster = 0.228