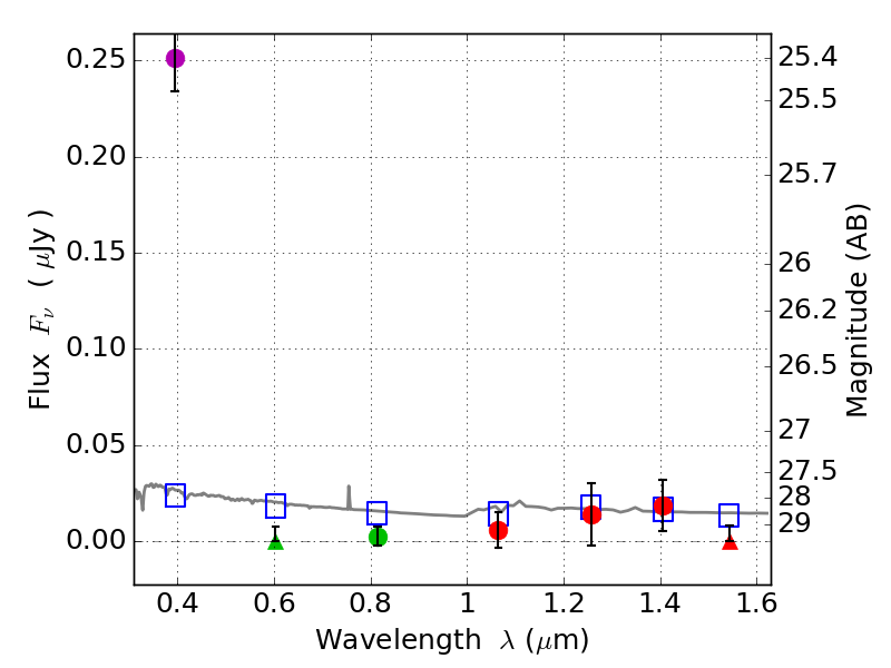
RXS0603+42-N IR detection object #3504

Color images and BPZ results
Catalog: 3504.cat
Black segments are analyzed here.   Roll mouse over color images to view segments.
Best viewed in a wide browser window (1200 pixels or more).   Download SED & P(z) plots to view larger versions.
In P(z) plots: Yellow lines mark the cluster redshift z = 0.228,  

Object #3504   x,y = (2338, 2375)   RA, Dec = (06:03:15.024, 42:15:40.32) = (90.81260, 42.26120)   BPZ = 1.696 [0.960--2.280]   type = 11.00 (SB11_A_0_l)   stellarity = 0.72   chisq2 = 45.15   ODDS = 0.43   z_cluster = 0.228