RXS0603+42-N IR detection object #3489

Color images and BPZ results
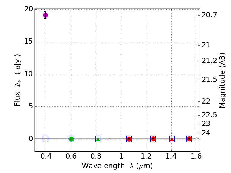
Catalog: 3489.cat
Black segments are analyzed here.   Roll mouse over color images to view segments.
Best viewed in a wide browser window (1200 pixels or more).   Download SED & P(z) plots to view larger versions.
In P(z) plots: Yellow lines mark the cluster redshift z = 0.228,  

Object #3489   x,y = (2292, 2379)   RA, Dec = (06:03:15.264, 42:15:40.32) = (90.81360, 42.26120)   BPZ = 1.441 [0.411--8.191]   type = 11.00 (SB11_A_0_l)   stellarity = 0.91   chisq2 = 287.30   ODDS = 0.09   z_cluster = 0.228