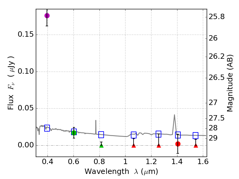
RXS0603+42-N IR detection object #3484

Color images and BPZ results
Catalog: 3484.cat
Black segments are analyzed here.   Roll mouse over color images to view segments.
Best viewed in a wide browser window (1200 pixels or more).   Download SED & P(z) plots to view larger versions.
In P(z) plots: Yellow lines mark the cluster redshift z = 0.228,  

Object #3484   x,y = (1851, 2382)   RA, Dec = (06:03:17.664, 42:15:40.68) = (90.82360, 42.26130)   BPZ = 1.763 [1.157--2.322]   type = 11.00 (SB11_A_0_l)   stellarity = 0.71   chisq2 = 32.30   ODDS = 0.41   z_cluster = 0.228