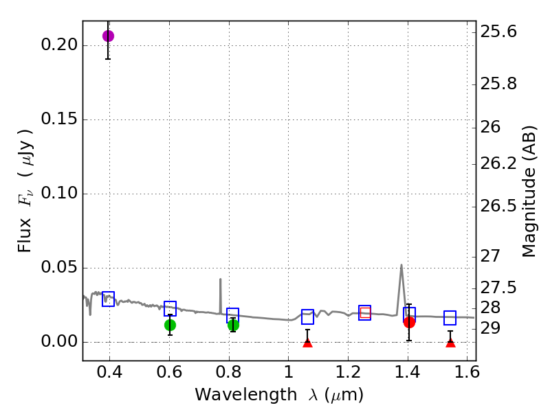
RXS0603+42-N IR detection object #3431

Color images and BPZ results
Catalog: 3431.cat
Black segments are analyzed here.   Roll mouse over color images to view segments.
Best viewed in a wide browser window (1200 pixels or more).   Download SED & P(z) plots to view larger versions.
In P(z) plots: Yellow lines mark the cluster redshift z = 0.228,  

Object #3431   x,y = (2226, 2400)   RA, Dec = (06:03:15.624, 42:15:41.76) = (90.81510, 42.26160)   BPZ = 1.760 [1.020--2.265]   type = 11.00 (SB11_A_0_l)   stellarity = 0.58   chisq2 = 43.96   ODDS = 0.46   z_cluster = 0.228