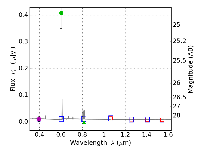
RXS0603+42-N IR detection object #3403

Color images and BPZ results
Catalog: 3403.cat
Black segments are analyzed here.   Roll mouse over color images to view segments.
Best viewed in a wide browser window (1200 pixels or more).   Download SED & P(z) plots to view larger versions.
In P(z) plots: Yellow lines mark the cluster redshift z = 0.228,  

Object #3403   x,y = (4574, 2407)   RA, Dec = (06:03:02.952, 42:15:42.12) = (90.76230, 42.26170)   BPZ = 0.636 [0.162--3.557]   type = 11.00 (SB11_A_0_l)   stellarity = 0.86   chisq2 = 48.25   ODDS = 0.06   z_cluster = 0.228