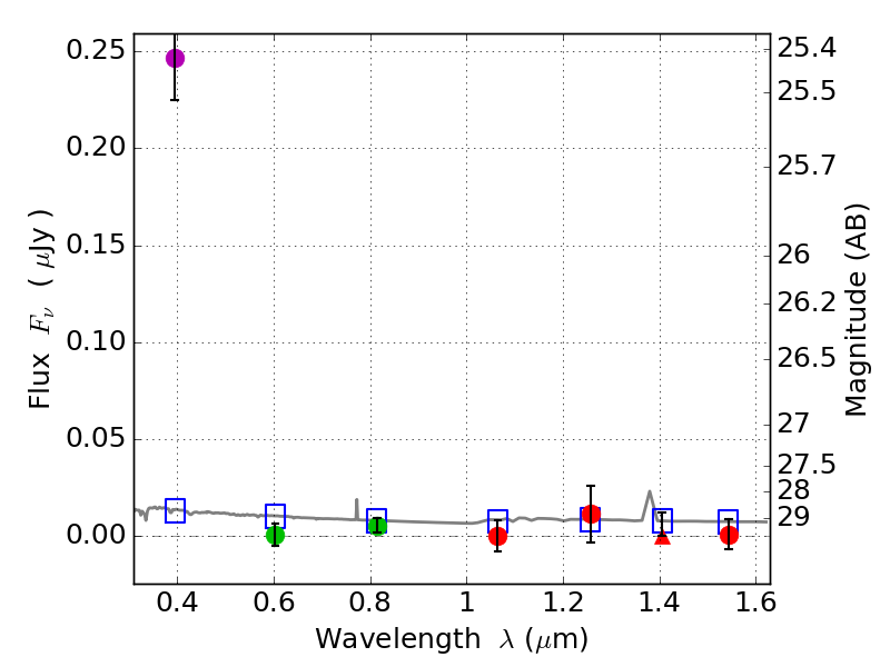
RXS0603+42-N IR detection object #3390

Color images and BPZ results
Catalog: 3390.cat
Black segments are analyzed here.   Roll mouse over color images to view segments.
Best viewed in a wide browser window (1200 pixels or more).   Download SED & P(z) plots to view larger versions.
In P(z) plots: Yellow lines mark the cluster redshift z = 0.228,  

Object #3390   x,y = (1648, 2410)   RA, Dec = (06:03:18.744, 42:15:42.12) = (90.82810, 42.26170)   BPZ = 1.762 [0.322--4.601]   type = 11.00 (SB11_A_0_l)   stellarity = 0.75   chisq2 = 29.65   ODDS = 0.15   z_cluster = 0.228