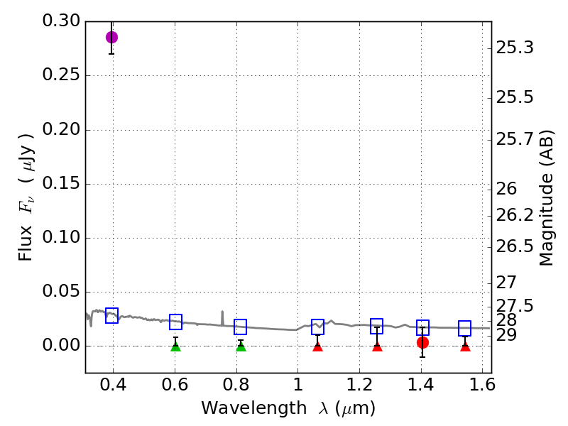
RXS0603+42-N IR detection object #3381

Color images and BPZ results
Catalog: 3381.cat
Black segments are analyzed here.   Roll mouse over color images to view segments.
Best viewed in a wide browser window (1200 pixels or more).   Download SED & P(z) plots to view larger versions.
In P(z) plots: Yellow lines mark the cluster redshift z = 0.228,  

Object #3381   x,y = (3206, 2529)   RA, Dec = (06:03:10.320, 42:15:49.32) = (90.79300, 42.26370)   BPZ = 1.700 [1.323--2.165]   type = 11.00 (SB11_A_0_l)   stellarity = 0.72   chisq2 = 72.60   ODDS = 0.52   z_cluster = 0.228