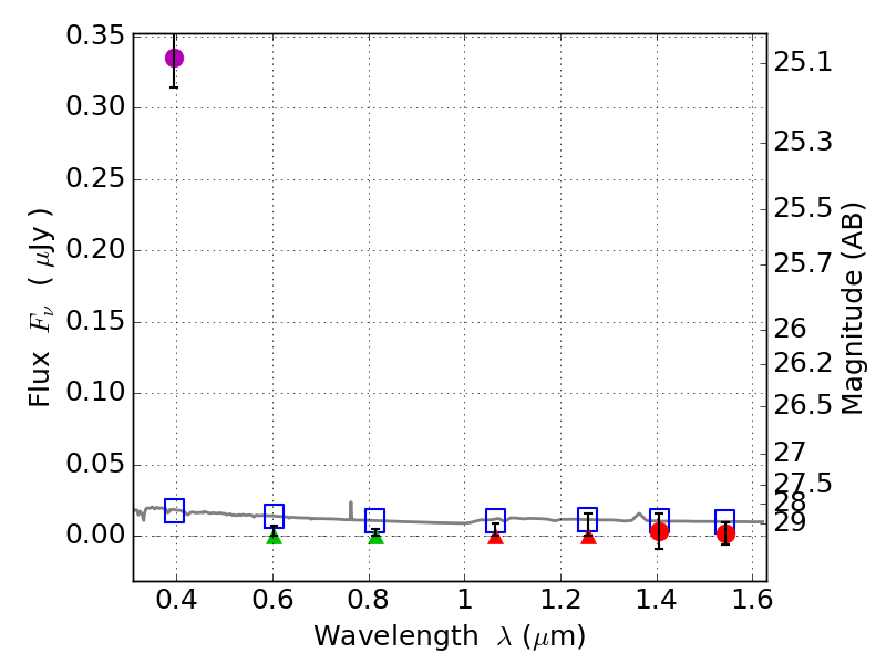
RXS0603+42-N IR detection object #3369

Color images and BPZ results
Catalog: 3369.cat
Black segments are analyzed here.   Roll mouse over color images to view segments.
Best viewed in a wide browser window (1200 pixels or more).   Download SED & P(z) plots to view larger versions.
In P(z) plots: Yellow lines mark the cluster redshift z = 0.228,  

Object #3369   x,y = (2213, 2417)   RA, Dec = (06:03:15.696, 42:15:42.84) = (90.81540, 42.26190)   BPZ = 1.731 [0.620--3.212]   type = 11.00 (SB11_A_0_l)   stellarity = 0.68   chisq2 = 58.44   ODDS = 0.26   z_cluster = 0.228