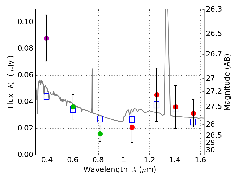
RXS0603+42-N IR detection object #3353

Color images and BPZ results
Catalog: 3353.cat
Black segments are analyzed here.   Roll mouse over color images to view segments.
Best viewed in a wide browser window (1200 pixels or more).   Download SED & P(z) plots to view larger versions.
In P(z) plots: Yellow lines mark the cluster redshift z = 0.228,  

Object #3353   x,y = (2192, 2433)   RA, Dec = (06:03:15.816, 42:15:43.56) = (90.81590, 42.26210)   BPZ = 1.693 [1.092--2.459]   type = 11.00 (SB11_A_0_l)   stellarity = 0.31   chisq2 = 2.46   ODDS = 0.29   z_cluster = 0.228