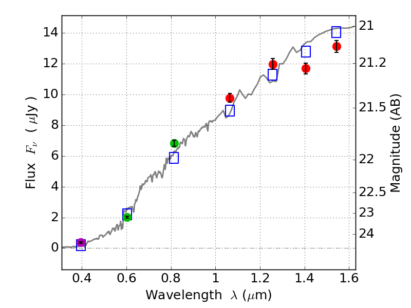
RXS0603+42-N IR detection object #3338

Color images and BPZ results
Catalog: 3338.cat
Black segments are analyzed here.   Roll mouse over color images to view segments.
Best viewed in a wide browser window (1200 pixels or more).   Download SED & P(z) plots to view larger versions.
In P(z) plots: Yellow lines mark the cluster redshift z = 0.228,  

Object #3338   x,y = (3778, 2425)   RA, Dec = (06:03:07.248, 42:15:43.20) = (90.78020, 42.26200)   BPZ = 0.471 [0.392--0.504]   type = 4.00 (Ell4_A_0)   stellarity = 0.99   chisq2 = 1.08   ODDS = 0.96   z_cluster = 0.228