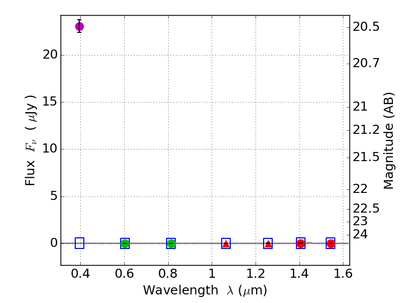
RXS0603+42-N IR detection object #3322

Color images and BPZ results
Catalog: 3322.cat
Black segments are analyzed here.   Roll mouse over color images to view segments.
Best viewed in a wide browser window (1200 pixels or more).   Download SED & P(z) plots to view larger versions.
In P(z) plots: Yellow lines mark the cluster redshift z = 0.228,  

Object #3322   x,y = (1672, 2436)   RA, Dec = (06:03:18.624, 42:15:43.92) = (90.82760, 42.26220)   BPZ = 1.147 [0.302--7.843]   type = 11.00 (SB11_A_0_l)   stellarity = 1.00   chisq2 = 287.20   ODDS = 0.06   z_cluster = 0.228