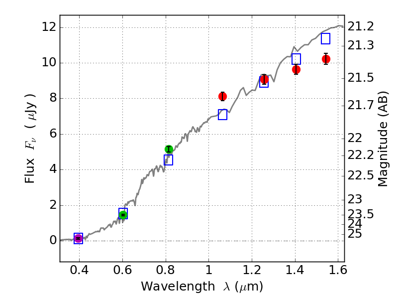
RXS0603+42-N IR detection object #3295

Color images and BPZ results
Catalog: 3295.cat
Black segments are analyzed here.   Roll mouse over color images to view segments.
Best viewed in a wide browser window (1200 pixels or more).   Download SED & P(z) plots to view larger versions.
In P(z) plots: Yellow lines mark the cluster redshift z = 0.228,  

Object #3295   x,y = (3013, 2437)   RA, Dec = (06:03:11.376, 42:15:43.92) = (90.79740, 42.26220)   BPZ = 0.528 [0.495--0.563]   type = 4.00 (Ell4_A_0)   stellarity = 0.98   chisq2 = 1.21   ODDS = 0.99   z_cluster = 0.228