RXS0603+42-N IR detection object #3276

Color images and BPZ results
Catalog: 3276.cat
Black segments are analyzed here.   Roll mouse over color images to view segments.
Best viewed in a wide browser window (1200 pixels or more).   Download SED & P(z) plots to view larger versions.
In P(z) plots: Yellow lines mark the cluster redshift z = 0.228,  

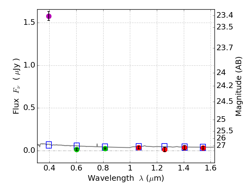
Object #3276   x,y = (2087, 2451)   RA, Dec = (06:03:16.392, 42:15:44.64) = (90.81830, 42.26240)   BPZ = 1.703 [1.261--2.066]   type = 11.00 (SB11_A_0_l)   stellarity = 0.70   chisq2 = 195.40   ODDS = 0.55   z_cluster = 0.228