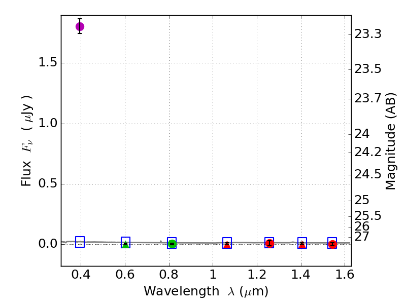
RXS0603+42-N IR detection object #3266

Color images and BPZ results
Catalog: 3266.cat
Black segments are analyzed here.   Roll mouse over color images to view segments.
Best viewed in a wide browser window (1200 pixels or more).   Download SED & P(z) plots to view larger versions.
In P(z) plots: Yellow lines mark the cluster redshift z = 0.228,  

Object #3266   x,y = (1659, 2457)   RA, Dec = (06:03:18.696, 42:15:45.00) = (90.82790, 42.26250)   BPZ = 1.731 [0.459--4.912]   type = 11.00 (SB11_A_0_l)   stellarity = 0.99   chisq2 = 218.30   ODDS = 0.20   z_cluster = 0.228