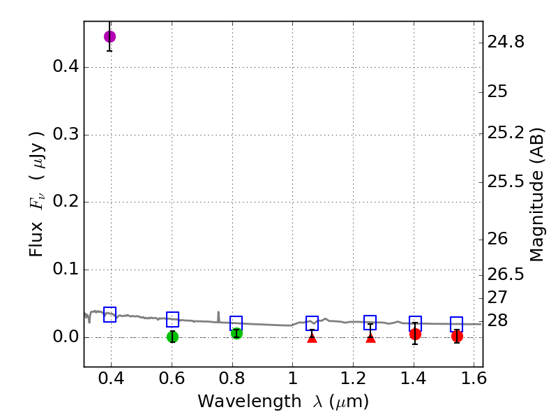
RXS0603+42-N IR detection object #3260

Color images and BPZ results
Catalog: 3260.cat
Black segments are analyzed here.   Roll mouse over color images to view segments.
Best viewed in a wide browser window (1200 pixels or more).   Download SED & P(z) plots to view larger versions.
In P(z) plots: Yellow lines mark the cluster redshift z = 0.228,  

Object #3260   x,y = (1778, 2532)   RA, Dec = (06:03:18.048, 42:15:49.68) = (90.82520, 42.26380)   BPZ = 1.700 [1.190--2.202]   type = 11.00 (SB11_A_0_l)   stellarity = 0.75   chisq2 = 87.93   ODDS = 0.49   z_cluster = 0.228