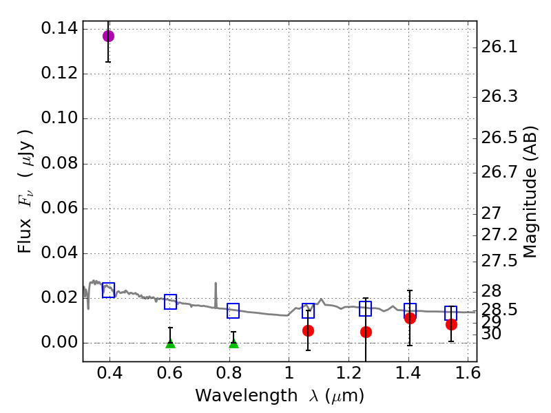
RXS0603+42-N IR detection object #3256

Color images and BPZ results
Catalog: 3256.cat
Black segments are analyzed here.   Roll mouse over color images to view segments.
Best viewed in a wide browser window (1200 pixels or more).   Download SED & P(z) plots to view larger versions.
In P(z) plots: Yellow lines mark the cluster redshift z = 0.228,  

Object #3256   x,y = (2395, 2462)   RA, Dec = (06:03:14.712, 42:15:45.36) = (90.81130, 42.26260)   BPZ = 1.699 [1.057--2.261]   type = 11.00 (SB11_A_0_l)   stellarity = 0.62   chisq2 = 26.70   ODDS = 0.39   z_cluster = 0.228