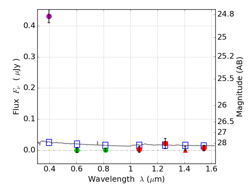
RXS0603+42-N IR detection object #3253

Color images and BPZ results
Catalog: 3253.cat
Black segments are analyzed here.   Roll mouse over color images to view segments.
Best viewed in a wide browser window (1200 pixels or more).   Download SED & P(z) plots to view larger versions.
In P(z) plots: Yellow lines mark the cluster redshift z = 0.228,  

Object #3253   x,y = (2109, 2464)   RA, Dec = (06:03:16.272, 42:15:45.36) = (90.81780, 42.26260)   BPZ = 1.699 [1.122--2.231]   type = 11.00 (SB11_A_0_l)   stellarity = 0.65   chisq2 = 93.05   ODDS = 0.44   z_cluster = 0.228