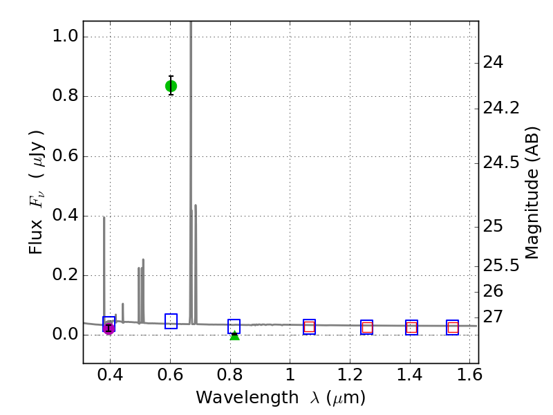
RXS0603+42-N IR detection object #323

Color images and BPZ results
Catalog: 323.cat
Black segments are analyzed here.   Roll mouse over color images to view segments.
Best viewed in a wide browser window (1200 pixels or more).   Download SED & P(z) plots to view larger versions.
In P(z) plots: Yellow lines mark the cluster redshift z = 0.228,  

Object #323   x,y = (2645, 3658)   RA, Dec = (06:03:13.368, 42:16:57.00) = (90.80570, 42.28250)   BPZ = 0.022 [0.010--2.084]   type = 11.00 (SB11_A_0_l)   stellarity = 0.73   chisq2 = 695.00   ODDS = 0.93   z_cluster = 0.228