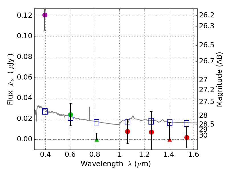
RXS0603+42-N IR detection object #3218

Color images and BPZ results
Catalog: 3218.cat
Black segments are analyzed here.   Roll mouse over color images to view segments.
Best viewed in a wide browser window (1200 pixels or more).   Download SED & P(z) plots to view larger versions.
In P(z) plots: Yellow lines mark the cluster redshift z = 0.228,  

Object #3218   x,y = (1829, 2471)   RA, Dec = (06:03:17.784, 42:15:46.08) = (90.82410, 42.26280)   BPZ = 1.701 [0.804--2.457]   type = 11.00 (SB11_A_0_l)   stellarity = 0.43   chisq2 = 12.32   ODDS = 0.35   z_cluster = 0.228