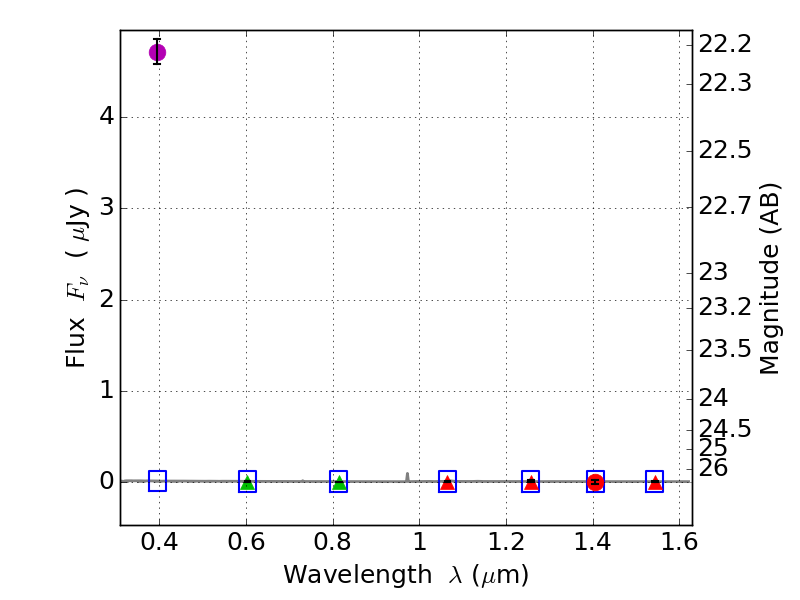
RXS0603+42-N IR detection object #3213

Color images and BPZ results
Catalog: 3213.cat
Black segments are analyzed here.   Roll mouse over color images to view segments.
Best viewed in a wide browser window (1200 pixels or more).   Download SED & P(z) plots to view larger versions.
In P(z) plots: Yellow lines mark the cluster redshift z = 0.228,  

Object #3213   x,y = (1668, 2465)   RA, Dec = (06:03:18.648, 42:15:45.72) = (90.82770, 42.26270)   BPZ = 1.606 [0.311--7.559]   type = 11.00 (SB11_A_0_l)   stellarity = 0.90   chisq2 = 277.40   ODDS = 0.08   z_cluster = 0.228