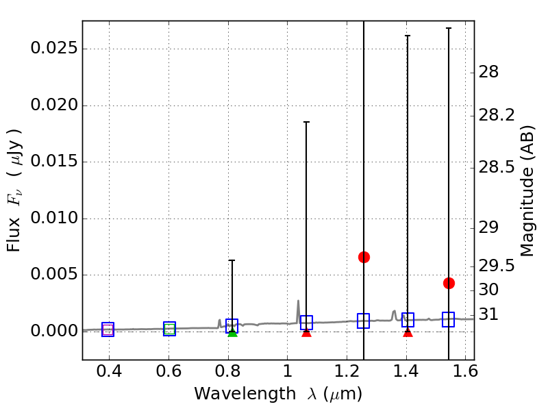
RXS0603+42-N IR detection object #3204

Color images and BPZ results
Catalog: 3204.cat
Black segments are analyzed here.   Roll mouse over color images to view segments.
Best viewed in a wide browser window (1200 pixels or more).   Download SED & P(z) plots to view larger versions.
In P(z) plots: Yellow lines mark the cluster redshift z = 0.228,  

Object #3204   x,y = (1520, 2475)   RA, Dec = (06:03:19.440, 42:15:46.08) = (90.83100, 42.26280)   BPZ = 1.072 [0.296--7.982]   type = 8.00 (SB1_B10)   stellarity = 0.97   chisq2 = 900.00   ODDS = 0.05   z_cluster = 0.228