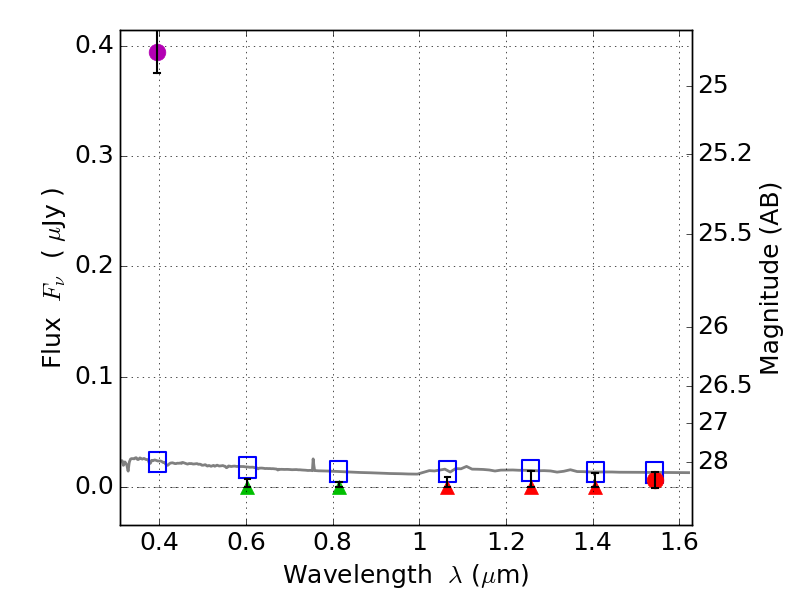
RXS0603+42-N IR detection object #3202

Color images and BPZ results
Catalog: 3202.cat
Black segments are analyzed here.   Roll mouse over color images to view segments.
Best viewed in a wide browser window (1200 pixels or more).   Download SED & P(z) plots to view larger versions.
In P(z) plots: Yellow lines mark the cluster redshift z = 0.228,  

Object #3202   x,y = (2161, 2475)   RA, Dec = (06:03:15.984, 42:15:46.08) = (90.81660, 42.26280)   BPZ = 1.700 [1.125--2.264]   type = 11.00 (SB11_A_0_l)   stellarity = 0.93   chisq2 = 95.77   ODDS = 0.41   z_cluster = 0.228