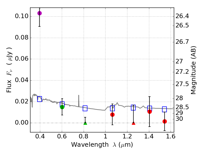
RXS0603+42-N IR detection object #3198

Color images and BPZ results
Catalog: 3198.cat
Black segments are analyzed here.   Roll mouse over color images to view segments.
Best viewed in a wide browser window (1200 pixels or more).   Download SED & P(z) plots to view larger versions.
In P(z) plots: Yellow lines mark the cluster redshift z = 0.228,  

Object #3198   x,y = (2262, 2474)   RA, Dec = (06:03:15.432, 42:15:46.08) = (90.81430, 42.26280)   BPZ = 1.700 [0.833--2.450]   type = 11.00 (SB11_A_0_l)   stellarity = 0.38   chisq2 = 12.49   ODDS = 0.35   z_cluster = 0.228