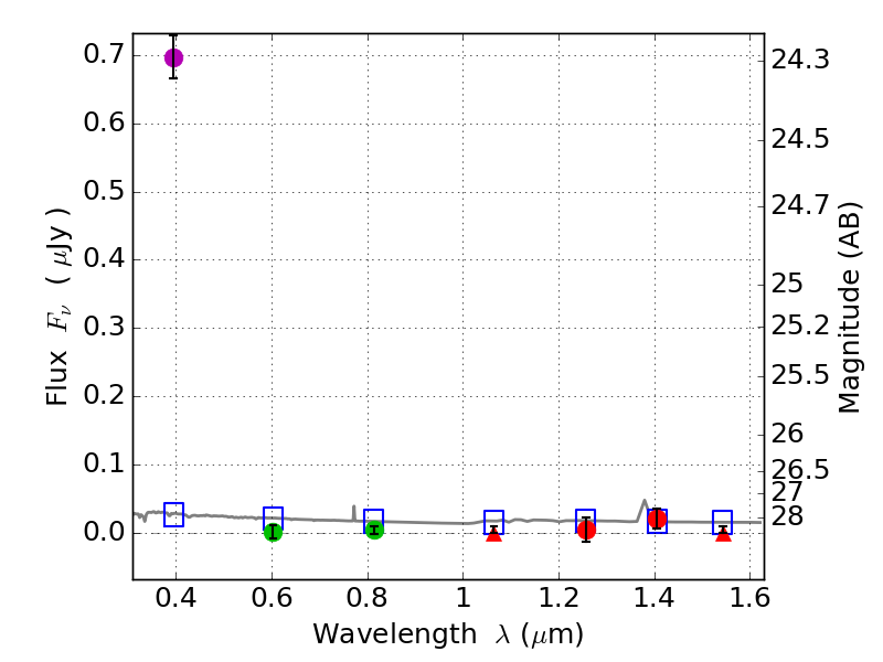
RXS0603+42-N IR detection object #3193

Color images and BPZ results
Catalog: 3193.cat
Black segments are analyzed here.   Roll mouse over color images to view segments.
Best viewed in a wide browser window (1200 pixels or more).   Download SED & P(z) plots to view larger versions.
In P(z) plots: Yellow lines mark the cluster redshift z = 0.228,  

Object #3193   x,y = (1699, 2479)   RA, Dec = (06:03:18.480, 42:15:46.44) = (90.82700, 42.26290)   BPZ = 1.761 [0.980--2.334]   type = 11.00 (SB11_A_0_l)   stellarity = 0.65   chisq2 = 114.00   ODDS = 0.39   z_cluster = 0.228