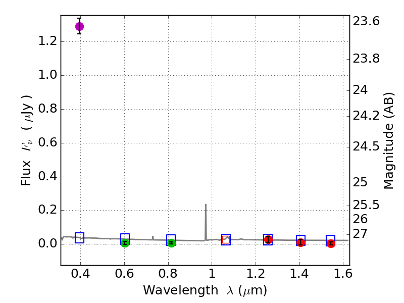
RXS0603+42-N IR detection object #3189

Color images and BPZ results
Catalog: 3189.cat
Black segments are analyzed here.   Roll mouse over color images to view segments.
Best viewed in a wide browser window (1200 pixels or more).   Download SED & P(z) plots to view larger versions.
In P(z) plots: Yellow lines mark the cluster redshift z = 0.228,  

Object #3189   x,y = (2028, 2481)   RA, Dec = (06:03:16.704, 42:15:46.44) = (90.81960, 42.26290)   BPZ = 1.613 [1.085--2.155]   type = 11.00 (SB11_A_0_l)   stellarity = 0.99   chisq2 = 258.00   ODDS = 0.42   z_cluster = 0.228