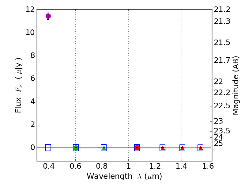
RXS0603+42-N IR detection object #3157

Color images and BPZ results
Catalog: 3157.cat
Black segments are analyzed here.   Roll mouse over color images to view segments.
Best viewed in a wide browser window (1200 pixels or more).   Download SED & P(z) plots to view larger versions.
In P(z) plots: Yellow lines mark the cluster redshift z = 0.228,  

Object #3157   x,y = (1665, 2491)   RA, Dec = (06:03:18.672, 42:15:47.16) = (90.82780, 42.26310)   BPZ = 1.089 [0.265--6.587]   type = 11.00 (SB11_A_0_l)   stellarity = 0.99   chisq2 = 287.30   ODDS = 0.06   z_cluster = 0.228