RXS0603+42-N IR detection object #3148

Color images and BPZ results
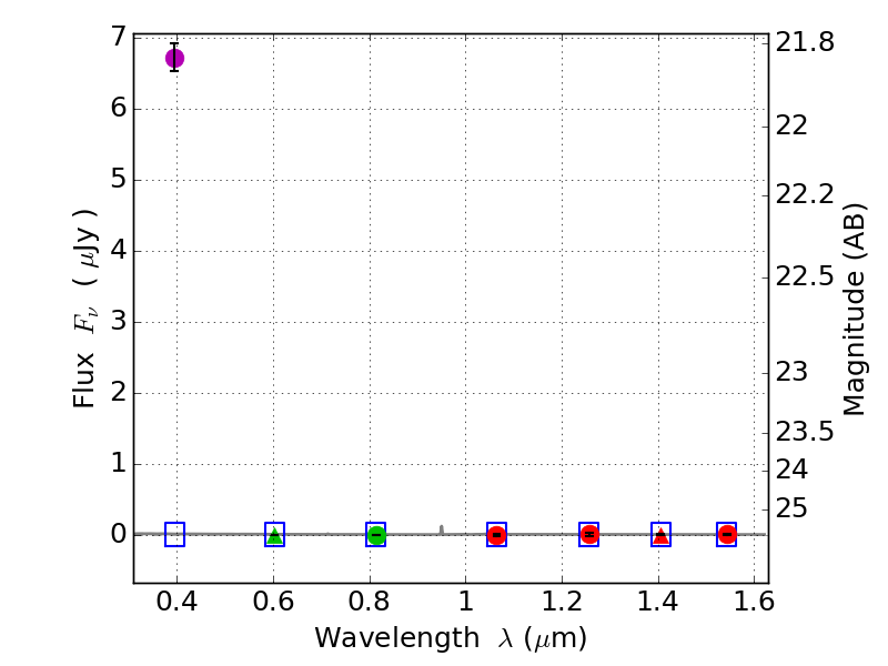
Catalog: 3148.cat
Black segments are analyzed here.   Roll mouse over color images to view segments.
Best viewed in a wide browser window (1200 pixels or more).   Download SED & P(z) plots to view larger versions.
In P(z) plots: Yellow lines mark the cluster redshift z = 0.228,  

Object #3148   x,y = (1701, 2494)   RA, Dec = (06:03:18.480, 42:15:47.16) = (90.82700, 42.26310)   BPZ = 1.552 [0.321--5.789]   type = 11.00 (SB11_A_0_l)   stellarity = 1.00   chisq2 = 286.10   ODDS = 0.09   z_cluster = 0.228