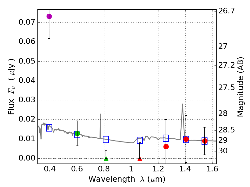
RXS0603+42-N IR detection object #3140

Color images and BPZ results
Catalog: 3140.cat
Black segments are analyzed here.   Roll mouse over color images to view segments.
Best viewed in a wide browser window (1200 pixels or more).   Download SED & P(z) plots to view larger versions.
In P(z) plots: Yellow lines mark the cluster redshift z = 0.228,  

Object #3140   x,y = (3144, 2498)   RA, Dec = (06:03:10.656, 42:15:47.52) = (90.79440, 42.26320)   BPZ = 1.761 [0.569--2.830]   type = 11.00 (SB11_A_0_l)   stellarity = 0.42   chisq2 = 7.82   ODDS = 0.20   z_cluster = 0.228