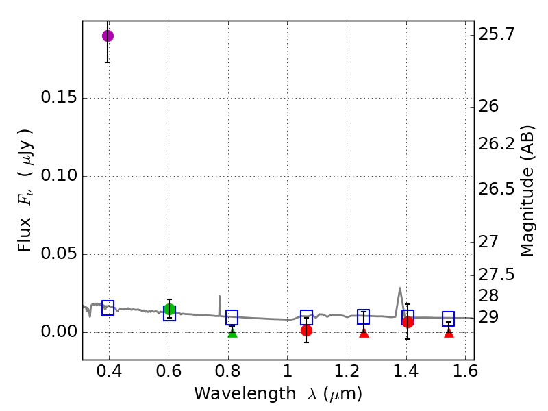
RXS0603+42-N IR detection object #3116

Color images and BPZ results
Catalog: 3116.cat
Black segments are analyzed here.   Roll mouse over color images to view segments.
Best viewed in a wide browser window (1200 pixels or more).   Download SED & P(z) plots to view larger versions.
In P(z) plots: Yellow lines mark the cluster redshift z = 0.228,  

Object #3116   x,y = (1701, 2506)   RA, Dec = (06:03:18.480, 42:15:47.88) = (90.82700, 42.26330)   BPZ = 1.763 [0.536--2.733]   type = 11.00 (SB11_A_0_l)   stellarity = 0.66   chisq2 = 27.31   ODDS = 0.27   z_cluster = 0.228