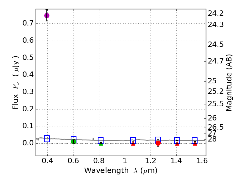
RXS0603+42-N IR detection object #3062

Color images and BPZ results
Catalog: 3062.cat
Black segments are analyzed here.   Roll mouse over color images to view segments.
Best viewed in a wide browser window (1200 pixels or more).   Download SED & P(z) plots to view larger versions.
In P(z) plots: Yellow lines mark the cluster redshift z = 0.228,  

Object #3062   x,y = (1690, 2540)   RA, Dec = (06:03:18.528, 42:15:50.04) = (90.82720, 42.26390)   BPZ = 1.700 [0.981--2.376]   type = 11.00 (SB11_A_0_l)   stellarity = 0.98   chisq2 = 120.90   ODDS = 0.40   z_cluster = 0.228