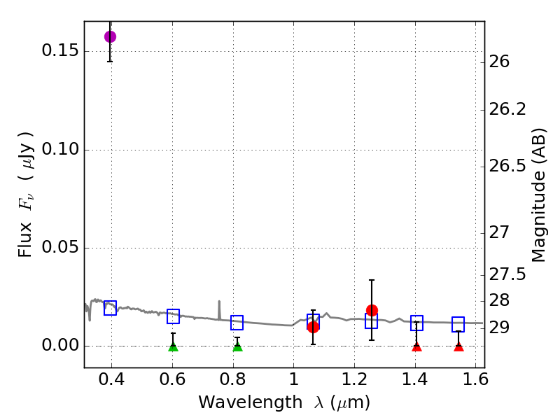
RXS0603+42-N IR detection object #3049

Color images and BPZ results
Catalog: 3049.cat
Black segments are analyzed here.   Roll mouse over color images to view segments.
Best viewed in a wide browser window (1200 pixels or more).   Download SED & P(z) plots to view larger versions.
In P(z) plots: Yellow lines mark the cluster redshift z = 0.228,  

Object #3049   x,y = (3515, 2543)   RA, Dec = (06:03:08.664, 42:15:50.40) = (90.78610, 42.26400)   BPZ = 1.702 [0.852--2.312]   type = 11.00 (SB11_A_0_l)   stellarity = 0.80   chisq2 = 31.28   ODDS = 0.39   z_cluster = 0.228